ecy-tech AFMS-160+PHM33 Enameled wire factory chimney measuring solution
ecy-tech AFMS-160+PHM33 Enameled wire factory chimney measuring solution
Background
Our client is a worldwide high-end manufacturer in the field of micro-enameled wire and ultra-enameled wire, produce according to IEC 60317, NEMA MW1000, JIS C3202 and other relevant industry standards, also provide customized services of enameled wire.
Their products are used in various electrical products such as transformers and motors to generate electromagnetic fields; Other special applications, such as Self-Bonding Wire or enameled aluminum wire for the voice coil, and enameled brass wire for injection valve, etc.
VOCs is generated when making enameled wires.Temperature and wind speed are controlled during the manufacturing process.That is why differential pressure and air velocity transmitter are required to monitor the drying speed and exhaust gas to meet with regulatory requirements.
The manufacturing process of enameled wire: Extruding&Drawing、Stretch the thread、Wash with pure water、Paint、Toasted、Spooling (as following):
Solution
In the process of making enameled wire, normally emission a lot of VOCs . The factory treats it with incineration equipment, incinerates it at 600 ... 800 °C; or catalytic oxidation at 200 ... 400 °C to remove, the working conditions of each process are different. For safety, the factory has to adopt different solutions.
Waste gas discharged standards
|
Content |
Project |
Implementation criteria |
Maximum permissible
emission concentration
(mg/m3)
|
||
|
Waste gas |
Enameled wire factory exhaust |
Toluene |
《Integrated emission standard of air pollutants》 (GB16297-1996) Table 2 Level II Standards |
17 m exhaust pipe |
40 |
|
Xylene |
70 |
||||
Take the customer as an example, its Chimney laying and sampling position does not meet GB/T 16157-1996 "Fixed pollution source exhaust particulate determination and gaseous pollutant sampling method".
So it is necessary to use a more suitable instrument for monitoring the process, such as the solution for ventilation ducts, flue industry, exhaust gas emission, environmental engineering, and processing for dusty air and high flow rate, or in high temperature and chimney environmental tests.
In this case, our customer's already have the flow meter on the chimney of the factory, but the flow meter needs to be installed at different location cross-reference to get a more accurate data.
We suggest wind speed and air volume can be measured using the S-type pitot tube and differential pressure measurement. S-type pitot tube consists of 2 metal tubes in parallel, the measuring port has two openings in opposite directions, the opening part facing the air flow measures is the total pressure, the opposite part pressure Actually is less than static pressure, but Its positive and reverse correction coefficient should be smaller than 0.01, the pressure hole opening is big, not easy to be blocked by particulate matter, and easy to use in the thick wall flue.
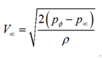
Because of the flow rate of the exhaust is proportional to the square root of its dynamic pressure, therefore according to the parameters of dynamic pressure, static pressure and temperature, we can get the flow rate.
Using Standard Reference Instrument to monitor security will not affect the smoke flow emission, the more important thing is it can achieve more in line with the local environmental protection requirements and security, are not affected by the interference of the external environment temperature and humidity, avoid heat loss, to keep sensitivity and fast, so we recommend solutions to customers---eyc-tech AFMS-160 S-type Pitot tube with eYcPHM33 Industrial grade differential pressure transmitter to control and monitoring.
Product Advantage
eyc-tech AFMS-160 S-type Pitot tube is designed for flow measurement of dirty particulate laden air or gas streams typical in a smoke stack and other environmental testing. It is high strength, and long term durability. Function is to measure a local velocity of the point, such as chimney, can be used in technological research, production, environmental protection, mine ventilation and tunnel construction, it is widely for measuring the pressure of the fluid. High temperature resistance, Corrosion resistant, Anti-clogging, Data convert to flow rate quickly, Operating pressure: Max 10 bar; Operating temperature: Max. 250 °C; Temperature tolerance: 800°C.
The principle of differential pressure transmitter is measuring trace of differential pressure, through pressure in and pressure out, PCB will transduce it to the differential pressure signal.
Silicon chips on Thermo Differential Pressure Module of MEMS integration technology. Offset function by bottom / UI software, Low-pressure monitoring, high pressure bearable, Option RS-485 communication interface, Modbus RTU protocol.
Using AFMS-160 S pitot tube to measure the actuating pressure (the dynamic pressure is the total pressure minus the static pressure, i.e. Pd= pt-ps), the flow rate and velocity in the pipeline can be calculated by Bernoulli equation.

PHM33 industrial differential pressure transmitter is used to measure the flow rate of the fluid. It can measure the liquid level (such as differential pressure level gauge) and the resistance of pipeline and tower equipment (i.e., pressure drop at two points) to calculate the exact value. Physical switch:mbar / Pa / hPa / kPa / mmH2O / mmWS / inH2O / mmHg,Square root function also be used to Measuring the pipe flow dynamic pressure (Δ P) and calculate the wind speed and air volume and temperature(For exhaust gas emission control and monitoring, AFMT Average Flow Measuring Tube (Pitot tube) also a great selection).
Construction field
